Skip to main content
Home
plus.maths.org

Secondary menu

  • My list
  • About Plus
  • Sponsors
  • Subscribe
  • Contact Us
  • Log in
  • Main navigation

  • Home
  • Articles
  • Collections
  • Podcasts
  • Maths in a minute
  • Puzzles
  • Videos
  • Topics and tags
  • For

    • cat icon
      Curiosity
    • newspaper icon
      Media
    • graduation icon
      Education
    • briefcase icon
      Policy

    Popular topics and tags

    Shapes

    • Geometry
    • Vectors and matrices
    • Topology
    • Networks and graph theory
    • Fractals

    Numbers

    • Number theory
    • Arithmetic
    • Prime numbers
    • Fermat's last theorem
    • Cryptography

    Computing and information

    • Quantum computing
    • Complexity
    • Information theory
    • Artificial intelligence and machine learning
    • Algorithm

    Data and probability

    • Statistics
    • Probability and uncertainty
    • Randomness

    Abstract structures

    • Symmetry
    • Algebra and group theory
    • Vectors and matrices

    Physics

    • Fluid dynamics
    • Quantum physics
    • General relativity, gravity and black holes
    • Entropy and thermodynamics
    • String theory and quantum gravity

    Arts, humanities and sport

    • History and philosophy of mathematics
    • Art and Music
    • Language
    • Sport

    Logic, proof and strategy

    • Logic
    • Proof
    • Game theory

    Calculus and analysis

    • Differential equations
    • Calculus

    Towards applications

    • Mathematical modelling
    • Dynamical systems and Chaos

    Applications

    • Medicine and health
    • Epidemiology
    • Biology
    • Economics and finance
    • Engineering and architecture
    • Weather forecasting
    • Climate change

    Understanding of mathematics

    • Public understanding of mathematics
    • Education

    Get your maths quickly

    • Maths in a minute

    Main menu

  • Home
  • Articles
  • Collections
  • Podcasts
  • Maths in a minute
  • Puzzles
  • Videos
  • Topics and tags
  • Audiences

    • cat icon
      Curiosity
    • newspaper icon
      Media
    • graduation icon
      Education
    • briefcase icon
      Policy

    Secondary menu

  • My list
  • About Plus
  • Sponsors
  • Subscribe
  • Contact Us
  • Log in
  • Mandelbrot Set

    Complex multiplication

    1 May, 1998
    May 1998

    Thanks to A Moss for bringing this puzzle to our attention.

    This puzzle concerns complex numbers but don't worry. You don't need to know anything about complex numbers to solve it!

    Background

    A complex number is often written as the sum of a real and an imaginary part as follows:

    a+ib

    i is a symbol representing the square root of minus one (sometimes j is used instead), a is the real part and b is the imaginary part. a and b are both real numbers.

    Suppose that we have two complex numbers that we wish to multiply together to make a third.

    p+iq=(a+ib)(c+id)

    If we expand the brackets on the right hand side we get the following expression:

    p+iq=ac+i(ad+bc)+i^2.bd

    But as i2 is minus one (by definition) we can reduce this to the following two expressions for p and q:

    p=ac-bd q=ad+bc

    This process of multiplying two complex numbers together is something which the computer programs that generate those beautiful fractal images you so often see in books must do over and over again. Traditionally, computers have been able to add and subtract much faster than they can multiply and divide. Computer programmers are therefore always looking for ways of reducing the number of multiplications required in each calculation.

    The problem

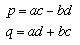
    The values of the variables p and q are defined in terms of a, b, c and d as follows:

    p=ac-bd q=ad+bc

    As written, the procedure for calculating p and q, given the four values a, b, c and d requires four multiplications.

    Your challenge is to describe a procedure which uses fewer than four multiplications.

    We will publish the best explanation in the next issue, along with the answer to the problem itself.

    Solution

    • Log in or register to post comments

    Read more about...

    puzzle
    optimisation
    University of Cambridge logo

    Plus is part of the family of activities in the Millennium Mathematics Project.
    Copyright © 1997 - 2026. University of Cambridge. All rights reserved.

    Terms